пʼятниця, 28 лютого 2025 р.
четвер, 20 лютого 2025 р.
Обчислення інтегралів у Lazarus
Метод Сімпсона.
Цей метод більш точний у порівнянні з методами прямокутників та трапецій.
Формула Сімпсона (також Ньютона-Сімпсона) відноситься до прийомів чисельного інтегрування. Отримала назву на честь британського математика Томаса Сімпсона (1710-1761).
Суть прийому полягає у наближенні підінтегральної функції на відрізку [a, b] інтерполяційним многочленом другого ступеня p2(x), тобто наближення графіка функції на відрізку параболою.
Геометрично ілюстрація формули Сімпсона у тому, що у кожному з здвоєних часткових відрізків замінюємо дугу даної кривої дугою графіка квадратного тричлена.
За формулою Сімпсона при деякому етапі h обчислюють інтеграл. Потім крок збільшують удвічі та знову обчислюють інтеграл. Друге, грубіше обчислення інтеграла служить з метою оцінки точності першого, більш точного. Усі цифри першого та другого обчислень збігаються в результаті, а також перша неточна цифра більш точного результату вважаються вірними. Наприклад, якщо точніше обчислення число 1,4673, а друге - 1,4657, то 1,467 - правильне значення інтеграла (у ньому 4-значні цифри - вірні).
Для більш грубого розрахунку ніяких інших підготовчих робіт не потрібно. Значення xi та y(xi) беруться через одне. Слід лише врахувати, що з першому (точнішому) розрахунку необхідно вибрати таку кількість точок розбиття, яке кратно 4 тобто. ділиться на чотири. Якщо при вибраному вихідному кроці h необхідна точність результату не досягнута, то проводять третє, четверте обчислення з рівним кроком половині вихідного і т.д.
Розіб'ємо відрізок інтегрування [a; b] на 2× n рівних частин довжини. Позначимо точки розбиття x0 = a; x1=x0+h, ... , xi=x0+i× h, ..., x2n=b. Значення функції f у точках xi позначимо yi, тобто. yi = f (xi). Тоді згідно з методом Сімпсона:
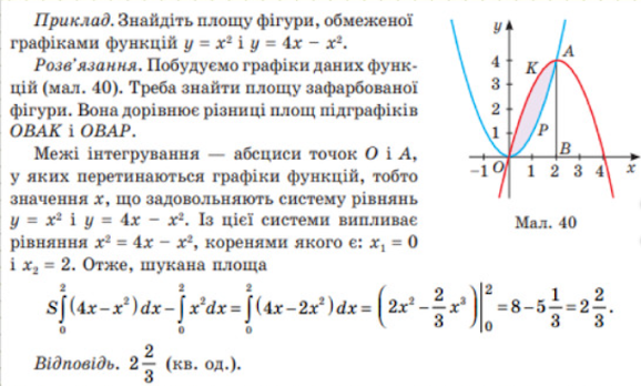
Геометричний зміст формули Сімпсона: площа криволінійної трапеції під графіком функції f(x) на відрізку [a, b] приблизно замінюється сумою площ фігур, що лежать під параболами на малюнку 1.
Реалізація цього метода у середовищі Lazarus (інформатика, 8-9 класи):
Проект на Google Disk
середа, 19 лютого 2025 р.
Обчислення визначених інтегралів у системі Maple
Робота в Maple проходить в режимі сесії – користувач вводить команди, вирази або процедури, які сприймаються і обробляються Maple. В кінці кожної команди ставиться або крапка з комою «;» (під відповідним виразом буде виведено результат виконання команди або повідомлення про помилку), або двокрапка «:» (результат не виводиться). Робоче поле поділяється на три частини:
1) область введення – складається з командних рядків. Кожен командний рядок починається з символа «>»;
2) область виведення – містить результати обробки введених команд в вигляді аналітичних виразів, графічних об’єктів або повідомлень про помилку;
3) область текстових коментарів – містить довільну текстову інформацію, яка може пояснити процедури, що обробляються.
Текстові рядки не сприймаються Maple та не обробляються.
Приклад обчислення інтегралів:
Обчислення інтегралів у Microsoft Mathematics
Microsoft Mathematics
Математичні інструменти Microsoft Mathematics:
- Графічний калькулятор — модуль, для побудови 2-D та 3-D графіків в різних системах координат (декартова, полярна, сферична, циліндрична).
- Обчислювач рівнянь — модуль, створений для вирішення одного рівняння або системи рівнянь.
- Бібліотека формул та рівнянь — модуль для пошуку часто вживаних формул з математики та інших галузей науки, їх графічного дослідження, обчислення для конкретної змінної.
- Обчислювач трикутника — модуль для знаходження невідомих сторін та кутів трикутника по відомим.
- Конвертер величин — модуль для перетворення вимірювань з однієї системи одиниць в іншу (довжини, площі, обсягу, ваги, температури, тиску, енергії, сили, швидкості, часу).\
Приклад обчислення інтеграла:
Обчислення визначених інтегралів в GeoGebra
У програмi GeoGebra всi iнтеграли розв’язуються однаково. Програма має простi команди для знаходження як визначених iнтегралiв, так i невизначених iнтегралiв.

Приклад обчислення інтеграла:
Обчислення визначених інтегралів у Advanced Grapher
Комп'ютерна програма Advanced Grapher
Унікальна програма для застосування при вивченні шкільного курсу математики. Дозволяє на одній координатній площині зображувати:
- графіки функцій f(x), f(x+a), f(x-a) a>0
- графіки функцій f(x), f(x)+b, f(x)-b>0
- графіки функцій f(kx+b)+c, |f(kx+b)+c|, f(|kx+b|)+c
- графік y=f(x,, одночасно визначити похідну і побудувати графік похідної;
- рішення систем рівнянь і нерівностей основного і поглибленого рівнів.
Комп'ютерна програма дозволить учням вирішувати дослідницькі завдання: на визначення увігнутості, опуклості кривих, у побудові дотичної і нормалі в будь-якій точки області визначення функції, дослідження точок максимуму і мінімуму, найбільшого і найменшого значень на проміжку, визначення площі фігури, обмеженої лініями.
Продемонструємо, як виконується побудова криволінійних трапецій та обчислення їх площ у
програмі Advanced Grapher на прикладах.
Приклад 1. Знайдіть площу криволінійної трапеції, обмеженої графіком функції
Advanced Grapher Version 2.2), натискаємо кнопку «Добавить график» на панелі
інструментів – на рис.1 ця кнопка підсвічена.
Для того щоб візуально побачити цю трапецію і обчислити її площу, натиснемо на
панелі інструментів (рис. 1) кнопку
Застосування визначеного інтеграла в економіці
Застосування визначеного інтеграла у фізиці
Фізика вивчає різні явища і процеси, які пов’язані зі змінними величинами, обчислювати які значно легше за допомогою визначеного інтеграла. З’ясуємо, як саме ми можемо застосувати визначений інтеграл у фізиці.
Задача 1. Яку потрібно виконати роботу, щоб розтягнути пружину на 3 см, якщо сила в 10 Н розтягує пружину на 1 см?
Розв’язання:
Згідно з законом Гука, сила F, що розтягує пружину, пропорційна переміщенню х вільного кінця пружини, тобто F=kx.
Для знаходження коефіцієнта k скористаємось тим, що сила в 10Н розтягує пружину на 0,01 м: 10=0,01∙ k, k=1000. Тоді F=1000х і роботу знаходимо за формулою
.
Задача 2. Обчисліть масу ділянки стрижня від х1=1 до х2=2, якщо його лінійна щільність задається формулою ρ(х)=4х3+5х+2 (г/см).
Розв’язання: Знаходимо масу ділянки за формулою
.
Задача 3. Протягом 7 с. величина струму в провіднику змінювалась за законом I(t)=3t2+2t (А). Знайдіть кількість електрики, що пройшла через провідник за цей час.










































